Kuyu Temelinin Bileşeni

1. Kuyu Kaldırımı
Kuyu bordürü, kesici kenarın sadece bir kısmı toprakla temas halindeyken ve kalan kısım sadece yüzey sürtünmesi ile tutulduğunda, kesici kenarın tabanındaki kısmi destek ile kuyunun ağırlığını desteklemek için tasarlanmıştır.
Tasarım amaçları için bir kütük üzerinde duran kesici kenarın üç noktalı desteği kabul edilebilir. Kesme kenarına gelen yük, önemli bir kısmı yüzey sürtünmesi tarafından taşındığından belirsizdir.
Bir diğer belirsizlik faktörü, kuyunun tamamı burulma ve eğilmeye direnmek için derin bir kiriş görevi gördüğünden, kuyu bordürün etkin derinliği ile ilgilidir.
Yük ara sıra olduğundan, akma geriliminin %99’una kadar çalışma gerilimine izin verilebilir. Kuyu bordürünün ayrıca kum darbelerinden kaynaklanan strese ve ayrıca kaya parçasının kuyunun batmasını engellediği durumlarda gerekli olan hafif patlatma işlemine dayanması gerekir.
2. Kesici Kenar
Kesici kenar, kayalar, darbeler, patlatma vb. tarafından indüklenen çeşitli gerilmelere dayanamayacak kadar zayıf hale getirmeden toprağa çakmak için mümkün olduğunca keskin bir açıya sahip olmalıdır.
30°’lik düşey açı veya yataydan 2 düşeye eğimli bir I pratikte tatmin edici bulunmuştur. Beton kesonlarda kesici kenarın alt kısmı, çelik şeritler vasıtasıyla betona sabitlenen 12 mm çelik levhalarla sarılır.
Genellikle kesonun dış yüzü boyunca keskin bir dikey kenar sağlanır. Böyle bir kenar, pnömatik kesonlarda batma oranını kolaylaştırır ve hava sızıntısını önler.
3. Steining Kalınlığı
Çelikleme kalınlığı, kentledge ile ağırlıklandırma ihtiyacı zaman aldığından ve ilerlemeyi önemli ölçüde geciktirdiğinden, kuyu her aşamada kendi ağırlığı altında batabilecek şekilde tasarlanmıştır.
Dış çapı D ve steinin kalınlığı I olan dairesel bir kuyu için,
Birim yükseklik başına öz ağırlık = π ( D – t ) t ρ
Birim ağırlık başına cilt sürtünme kuvvetleri = π D r ƒ
Neresi
ρ = kaplamanın beton veya duvar örgüsünün birim ağırlığı
r ƒ = Birim Cilt Sürtünmesi
İkisini eşitleyerek, π ( D – t ) t ρ = π D r ƒ elde ederiz.
Olan

Bu denklemden, belirli bir yüzey sürtünmesi değeri için, kuyu çapının değeri arttıkça, kaplama kalınlığının daha az olduğu görülecektir.
Ancak bu, aşağıdaki tabloda verilen kuyu çapının artmasıyla daha büyük bir kaplama kalınlığı sağlamaya yönelik olağan uygulamaya aykırıdır:
| D (Duvar Dış Çapı) | t (stein kalınlığı) |
| 3m | 0.75m |
| 5m | 1.20m |
| 7m | 2.00m |
Bunun nedeni büyük çaplı kuyunun daha derine alınması ve derinlikle birlikte deri sürtünmesinin artmasıdır. Ayrıca, daha derin kuyular için, su her zaman su ile karşılanır ve etkin öz ağırlık, su seviyesinin altındaki kuyuda kaldırma kuvveti ile azalır ve bu nedenle daha büyük kaplama kalınlığı gerekir.
4. Cilt Sürtünmesi
Birim yüzey sürtünmesi derinlikle artar ve belirli bir derinlikte yüzey sürtünmesi, yanal toprak basıncının sürtünme katsayısına eşittir.
Bununla birlikte, yanal toprak basıncı bir stres durumuna bağlı olduğundan, yüzey sürtünmesini laboratuvar testlerinden değerlendirmek mümkün değildir.
Değerini tam olarak belirlemek de mümkün değildir. Tasarım amacıyla aşağıdaki tabloda (Terazaghi ve Peck, 1948) verilen yüzey sürtünme değerleri kullanılabilir:
| Toprak Türü | Cilt Sürtünmesi (t/m 2 ) |
| Silt ve Yumuşak Kil | 0.73 – 2.93 |
| Çok Sert Kil | 4.9 – 19.5 |
| Gevşek kum | 1.22 – 3.42 |
| yoğun kum | 3.42 – 6.84 |
| yoğun çakıl | 4.9 – 9.4 |
Daha büyük yüzey sürtünmesi daha fazla batma çabası gerektirir ve bu nedenle kuyunun batmasını geciktirir. Bu nedenle kuyuyu batırırken deri sürtünmesini azaltacak yöntemler kullanılmalıdır.
Sürtünme direnci, temas yüzeyinin pürüzlülüğüne bağlı olduğundan, düzgün bir şekilde sıvanmış, bükülme veya bükülme olmadan gerçek bir düzlemde olan iyi bir kaplama yüzeyi, cilt sürtünmesini önemli ölçüde azaltacaktır.
Kuyu genişletilerek cilt sürtünmesi de azaltılır. San Francisco Oakland Körfezi Köprüsü’nde cilt sürtünmesini azaltmak için kesonların duvarlarında pürüzsüz yağlı bir yüzey veren ve batma işlemi sırasında ovulmayacak kadar sert bir kaplama kullanılmış ve bunun böyle olduğu tahmin edilmiştir. beton ile oldukça sert kil arasındaki sürtünmeyi kabaca %40 oranında azalttı.
Ayrıca dış yüzeye enjekte edilen bentonit solüsyonunun cilt sürtünmesini önemli ölçüde azalttığı bildirilmiştir.
5. Alt Fiş
Zemin basıncı (boşluk basıncı dahil) eksi alt tapa ve dolgunun öz ağırlığına eşit bir yukarı yük için tasarlanacak betonun alt tapası.
Alt tapa, ters kemer hareketine sahip olacak şekilde çanak şeklinde yapılmıştır. Alt tapa için genellikle su altı betonlama yapılması gerektiğinden, donatı sağlanamaz.
Alt tapa genellikle kuyunun dikey duvarlarından iletilen maksimum dikey yük altında birim taşıma basıncına maruz kalan kalın bir levha olarak tasarlanmıştır.
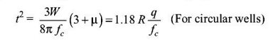
Elastikiyet teorisine göre alt tapanın kalınlığı aşağıdaki gibidir:

ve

Neresi,
t = Beton veya çelik tapanın kalınlığı
W = Kuyu tabanındaki toplam taşıma basıncı
ƒc = Bir beton contanın eğilme mukavemeti
μ = Poisson oranı = beton için 0.15
R = Kuyu tabanının yarıçapı
q = Kuyu tabanına karşı birim taşıma basıncı
b = Kuyunun genişliği veya kısa kenarı
∝ = Genişlik / uzunluk veya, Kuyunun kısa kenarı / uzun kenarı.